C언어로 쉽게 풀어쓴 자료구조: 8장 트리
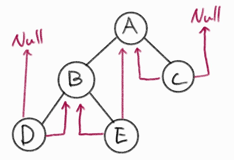
8.6 레벨 순회
- 큐를 사용하는 순회법
- 루트 노드의 레벨이 1이고 아래로 내려갈수록 레벨이 증가.
- 동일한 레벨의 경우 좌에서 우로 방문
void levelOrder(TreeNode *ptr)
{
QueueType q;
init_quque(q); // 큐 초기화
if(ptr == NULL) return;
enqueue(&q, ptr);
while(!is_empty(&q))
{
ptr = dequeue(&);
printf("[%d]", ptr->data);
if(ptr->left);
enqueue(&q, ptr->left);
if(ptr->right)
enqueue(&q, ptr->right);
}
}
8.9 이진트리의 추가 연산
노드의 개수
- 노드의 개수를 세기 위해서는 트리 안의 노드들을 전체적으로 순회해야 함
- 각 서브트리를 순환 호출한 후 반환되는 값에 1을 더해 반환한다.
int get_node_count(TreeNode *node)
{
int count = 0;
if(node != NULL)
count = 1+ get_node_count(node->left) +
get_node_count(node->right);
return count;
}
단말 노드 개수 구하기
- 단말노드: 자식이 없는 노드
- 단말 노드의 개수를 세기 위해서는 트리 안의 노드들을 전체적으로 순회해야 함
- 순회하면서 왼쪽 자식과 오른쪽 자식이 동시에 0이 되면 단말노드이므로 1을 반환한다.
int get_leaf_count(TreeNode *node)
{
int couint = 0;
if(node != NULL)
{
if(node -> left == NULL && node -> right == NULL)
return 1;
else
count = get_leaf_count(node->left) + get_leaf_count(node->right);
}
return count;
}
트리의 높이 구하기
- 각 서브 트리에 순환 호출한다.
- 서브 트리들의 반환값 중에서 최댓값을 구하여 반환한다.
int get_height(TreeNode *node)
{
int height = 0;
if(node != NULL)
height = 1 + max(get_height(node->left),
get_height(node->right));
return height;
}
8.10 스레드 이진 트리
- 스레드(Thread): 실을 이용하여 노드들을 순회 순서대로 연결시켜 놓은 트리
- 중위 선행자(Inorder predecessor, NULL 링크에 중위 순회 시에 선행 노드)나 중위 후속자(Inorder successor, 중위 순회시에 후속 노드)를 저장시켜 놓은 트리가 스레드 이진 트리이다.
- 장점:
- 스택을 사용하지 않아 순회가 가능하다.
- 탐색이 빠르다
- 단점:
- 추가 공간을 요구한다.(LTag, RTag)
- 삽입, 삭제가 느리다.

노드 p의 중위 후속자를 반환하는 함수
TreeNode * find_successor(TreeNode * p)
{
// q는 p의 오른쪽 포인터
TreeNode * q = p->right;
// 만약 오른쪽 포인터가 NULL이거나 스레드이면 오른쪽 포인터를 반환
if (q == NULL || p->is_thread == TRUE)
return q;
// 만약 오른쪽 자식이면 다시 가장 왼쪽 노드로 이동
while (q->left != NULL) q = q->left;
return q;
}
- p의 is_thread가 TRUE로 되어 있으면 바로 오른쪽 자식이 중위 후속자가 되므로 오른쪽 자식을 반환
- 오른쪽 자식이 NULL이면 더 이상 후속자가 없다는 것이므로 NULL반환
- is_thread가 TRUE가 아닌경우 서브 트리의 가장 왼쪽 노드로 간다.
- 왼쪽 자식이 NULL이 될 때까지 왼쪽 링크를 타고 이동한다.
스레드 이진 트리에서 중위 순회를 하는 함수
void thread_inorder(TreeNode * t)
{
TreeNode * q;
q = t;
while(q->left)
q = q->left; // 가장 왼쪽 노드로 간다
do{
printf("%c->", q->data); // 데이터 출력
q = find_successor(q); //후속자 함수 호출
} while(q); // NULL이 아니면
}
8.11 이진 탐색 트리
- 이진 트리 기반의 탐색을 위한 자료 구조
- 모든 원소의 키는 유일한 키를 가진다.
- 왼쪽 서브 트리 키들은 루트 키보다 작다.
- 오른쪽 서브 트리의 키들은 루트의 키보다 크다.
- 왼쪽과 오른쪽 서브 트리도 이진 탐색 트리이다.
➡️ 찾고자 하는 키값이 이진트리의 루트 노드의 킷값과 비교하여 루트 노드보다 작으면 왼쪽, 크면 오른쪽에 있다.

순환적인 탐색연산
- 비교한 결과가 같으면 탐색이 성공적으로 끝난다.
- 비교한 결과가, 주어진 키 값이 루트 노드의 키값보다 작으면 탐색은 이 루트 노드의 왼쪽 자식을 기준으로 다시 시작한다.
- 비교한 결과가, 주어진 키 값이 루트 노드 키값보다 크면 탐색은 이 루트 노드의 오른쪽 자식을 기준으로 다시 시작한다.

// 순환적인 탐색 함수
TreeNode * search(TreeNode * node, int key)
{
if (node == NULL) return NULL;
if (key == node->key) return node;
else if (key < node->key)
return search(node->left, key);
else
return search(node->right, key);
}
반복적인 탐색연산
// 반복적인 탐색 함수
TreeNode * search(TreeNode * node, int key)
{
while(node != NULL){
if (key == node->key) return node;
else if (key < node->key)
node = node->left;
else
node = node->right;
}
return NULL;
}
이진탐색트리에서 삽입연산
- 트리에 원소 삽입 전 먼저 탐색을 수행해야한다.
- 탐색에 성공하면 삽입하려는 원소가 트리에 이미 존재 -> 키가 중복되므로 삽입이 불가능하다.

TreeNode * insert_node(TreeNode * node, int key)
{
// 트리가 공백이면 새로운 노드를 반환한다.
if (node == NULL) return new_node(key);
// 그렇지 않으면 순환적으로 트리를 내려간다.
if (key < node->key)
node->left = insert_node(node->left, key);
else if (key > node->key)
node->right = insert_node(node->right, key);
// 변경된 루트 포인터를 반환한다.
return node;
}
이진탐색 트리에서 삭제 연산
- 삽입과 마찬가지로 탐색을 먼저해야한다.
- 삭제 시 다음 세가지를 고려해야 한다.
고려사항
- 삭제하려는 노드가 단말 노드일 경우
- 삭제하려는 노드가 하나늬 왼쪽이나 오른쪽 서브 트리중 하나만 가지고 있는 경우
- 삭제하려는 노드가 두개의 서브 트리 모두 가지고 있는 경우
삭제하려는 노드가 단말 노드일 경우
- 단말노드만 지우면 된다.
- 단말 노드의 부모노드를 찾아 부모노드 안의 링크 필드를 NULL로 만들어 연결을 끊는다.
- 만약 동적으로 색성하였다면, 동적 메모리를 해제시키면 된다.
삭제하려는 노드가 하나늬 왼쪽이나 오른쪽 서브 트리중 하나만 가지고 있는 경우
- 자기 노드는 삭제하고 서브 트리는 자기 노드의 부모 노드에 붙여준다.
삭제하려는 노드가 두개의 서브 트리 모두 가지고 있는 경우
- 삭제한려는 노드의 왼쪽 서브트리에서 제일 큰 값
- 삭제한려는 노드의 오른쪽 서브트리에서 제일 작은 값
- 위 값 중 하나를 선택한다.
// 이진 탐색 트리와 키가 주어지면 키가 저장된 노드를 삭제하고
// 새로운 루트 노드를 반환한다.
TreeNode * delete_node(TreeNode * root, int key)
{
if (root == NULL) return root;
// 만약 키가 루트보다 작으면 왼쪽 서브 트리에 있는 것임
if (key < root->key)
root->left = delete_node(root->left, key);
// 만약 키가 루트보다 크면 오른쪽 서브 트리에 있는 것임
else if (key > root->key)
root->right = delete_node(root->right, key);
// 키가 루트와 같으면 이 노드를 삭제하면 됨
else {
// 첫 번째나 두 번째 경우
if (root->left == NULL) {
TreeNode * temp = root->right;
free(root);
return temp;
}
else if (root->right == NULL) {
TreeNode * temp = root->left;
free(root);
return temp;
}
// 세 번째 경우
TreeNode * temp = min_value_node(root->right);
// 중외 순회시 후계 노드를 복사한다.
root->key = temp->key;
// 중외 순회시 후계 노드를 삭제한다.
root->right = delete_node(root->right, temp->key);
}
return root;
}
'C언어로 쉽게 풀어쓴 자료구조' 카테고리의 다른 글
| [C언어로 쉽게 풀어쓴 자료구조] 10장 그래프 Ⅰ (1) | 2025.01.14 |
|---|---|
| [C언어로 쉽게 풀어쓴 자료구조] 9장 우선순위 큐 (1) | 2025.01.02 |
| [C언어로 쉽게 풀어쓴 자료구조] 8장 트리 - Ⅰ (2) | 2024.11.24 |
| [C언어로 쉽게 풀어쓴 자료구조] 7장 연결리스트 - Ⅱ (1) | 2024.11.23 |
| [C언어로 쉽게 풀어쓴 자료구조] 6장 연결리스트 - Ⅰ (1) | 2024.11.17 |